当前位置:首页 > 系统 > Android
Android 保存文件路径方法 ... [更多详细]
发布日期:2019-10-21
使用Retrofit下载文件并实现进度监听的示例 ... [更多详细]
发布日期:2019-10-21
快速解决设置Android 23.0以上版本对SD卡的读写权限无效的问题 ... [更多详细]
发布日期:2019-10-21
Android 6.0区别U盘和SD卡设备的方法详解 ... [更多详细]
发布日期:2019-10-21
Android 6.0 无法在SD卡创建目录的方法 ... [更多详细]
发布日期:2019-10-21
Android解析相同接口返回不同格式json数据的方法 ... [更多详细]
发布日期:2019-10-21
Android 裁剪人脸类的实例代码 ... [更多详细]
发布日期:2019-10-21
Android切面编程入门讲解 ... [更多详细]
发布日期:2019-10-21
Android利用OpenGLES绘制天空盒实例教程 ... [更多详细]
发布日期:2019-10-21
Android自定义View实现粉碎的面具效果 ... [更多详细]
发布日期:2019-10-21
史上最全的Android build.gradle配置教程 ... [更多详细]
发布日期:2019-10-21
Android录音并且输出为Mp4文件的方法教程 ... [更多详细]
发布日期:2019-10-21
Android Theme以及解决启动黑屏的方法详解 ... [更多详细]
发布日期:2019-10-21
利用OPENCV为android开发畸变校正的JNI库方法 ... [更多详细]
发布日期:2019-10-21
Android Studio中使用jni进行opencv开发的环境配置方法 ... [更多详细]
发布日期:2019-10-21
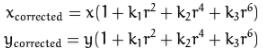
android广角相机畸变校正算法和实现示例 ... [更多详细]
发布日期:2019-10-21
Android 通过jni返回Mat数据类型方法 ... [更多详细]
发布日期:2019-10-21
android camera yuv帧水平翻转实例 ... [更多详细]
发布日期:2019-10-21
Android将camera获取到的YuvData在jni中转化为Mat方法 ... [更多详细]
发布日期:2019-10-21
Android开发图片水平旋转180度方法 ... [更多详细]
发布日期:2019-10-21
Android 使用Picasso加载网络图片等比例缩放的实现方法 ... [更多详细]
发布日期:2019-10-21
Android 6.0权限请求相关及权限分组方法 ... [更多详细]
发布日期:2019-10-21
解决Android Studio 代码无提示无颜色区分问题 ... [更多详细]
发布日期:2019-10-21
Android studio设置文件头定制代码注释的方法 ... [更多详细]
发布日期:2019-10-21
Android自定义进度条效果 ... [更多详细]
发布日期:2019-10-21