Matrix的数学原理
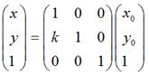
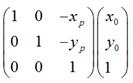
在Android中,如果你用Matrix进行过图像处理,那么一定知道Matrix这个类。Android中的Matrix是一个3 x 3的矩阵,其内容如下:

Matrix的对图像的处理可分为四类基本变换:
从字面上理解,矩阵中的MSCALE用于处理缩放变换,MSKEW用于处理错切变换,MTRANS用于处理平移变换,MPERSP用于处理透视变换。实际中当然不能完全按照字面上的说法去理解Matrix。同时,在Android的文档中,未见到用Matrix进行透视变换的相关说明,所以本文也不讨论这方面的问题。
针对每种变换,Android提供了pre、set和post三种操作方式。其中
set用于设置Matrix中的值。
pre是先乘,因为矩阵的乘法不满足交换律,因此先乘、后乘必须要严格区分。先乘相当于矩阵运算中的右乘。
post是后乘,因为矩阵的乘法不满足交换律,因此先乘、后乘必须要严格区分。后乘相当于矩阵运算中的左乘。
除平移变换(Translate)外,旋转变换(Rotate)、缩放变换(Scale)和错切变换(Skew)都可以围绕一个中心点来进行,如果不指定,在默认情况下是围绕(0, 0)来进行相应的变换的。
下面我们来看看四种变换的具体情形。由于所有的图形都是有点组成,因此我们只需要考察一个点相关变换即可。
一、 平移变换
假定有一个点的坐标是
,将其移动到
,再假定在x轴和y轴方向移动的大小分别为:

如下图所示:

不难知道:

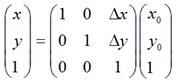
如果用矩阵来表示的话,就可以写成:

二、 旋转变换
2.1 围绕坐标原点旋转:
假定有一个点
,相对坐标原点顺时针旋转
后的情形,同时假定P点离坐标原点的距离为r,如下图:

那么,

如果用矩阵,就可以表示为:

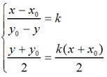
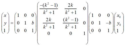
2.2 围绕某个点旋转
如果是围绕某个点
顺时针旋转
,那么可以用矩阵表示为:

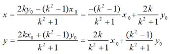
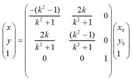
可以化为:

很显然,
1.
是将坐标原点移动到点
后,
的新坐标。
2.
是将上一步变换后的
,围绕新的坐标原点顺时针旋转
。
3. 
经过上一步旋转变换后,再将坐标原点移回到原来的坐标原点。
所以,围绕某一点进行旋转变换,可以分成3个步骤,即首先将坐标原点移至该点,然后围绕新的坐标原点进行旋转变换,再然后将坐标原点移回到原先的坐标原点。
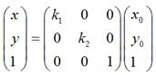
三、 缩放变换
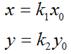
理论上而言,一个点是不存在什么缩放变换的,但考虑到所有图像都是由点组成,因此,如果图像在x轴和y轴方向分别放大k1和k2倍的话,那么图像中的所有点的x坐标和y坐标均会分别放大k1和k2倍,即

用矩阵表示就是:

缩放变换比较好理解,就不多说了。
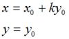
四、 错切变换
错切变换(skew)在数学上又称为Shear mapping(可译为“剪切变换”)或者Transvection(缩并),它是一种比较特殊的线性变换。错切变换的效果就是让所有点的x坐标(或者y坐标)保持不变,而对应的y坐标(或者x坐标)则按比例发生平移,且平移的大小和该点到x轴(或y轴)的垂直距离成正比。错切变换,属于等面积变换,即一个形状在错切变换的前后,其面积是相等的。
比如下图,各点的y坐标保持不变,但其x坐标则按比例发生了平移。这种情况将水平错切。

下图各点的x坐标保持不变,但其y坐标则按比例发生了平移。这种情况叫垂直错切。

假定一个点
经过错切变换后得到
,对于水平错切而言,应该有如下关系:

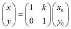
用矩阵表示就是:

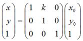
扩展到3 x 3的矩阵就是下面这样的形式:

同理,对于垂直错切,可以有:

在数学上严格的错切变换就是上面这样的。在Android中除了有上面说到的情况外,还可以同时进行水平、垂直错切,那么形式上就是:

五、 对称变换
除了上面讲到的4中基本变换外,事实上,我们还可以利用Matrix,进行对称变换。所谓对称变换,就是经过变化后的图像和原图像是关于某个对称轴是对称的。比如,
某点 经过对称变换后得到
,
如果对称轴是x轴,难么,

用矩阵表示就是:

如果对称轴是y轴,那么,

用矩阵表示就是:

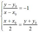
如果对称轴是y = x,如图:

那么,

很容易可以解得:

用矩阵表示就是:

同样的道理,如果对称轴是y = -x,那么用矩阵表示就是:

特殊地,如果对称轴是y = kx,如下图:

那么,

很容易可解得:

用矩阵表示就是:

当k = 0时,即y = 0,也就是对称轴为x轴的情况;当k趋于无穷大时,即x = 0,也就是对称轴为y轴的情况;当k =1时,即y = x,也就是对称轴为y = x的情况;当k = -1时,即y = -x,也就是对称轴为y = -x的情况。不难验证,这和我们前面说到的4中具体情况是相吻合的。
如果对称轴是y = kx + b这样的情况,只需要在上面的基础上增加两次平移变换即可,即先将坐标原点移动到(0, b),然后做上面的关于y = kx的对称变换,再然后将坐标原点移回到原来的坐标原点即可。用矩阵表示大致是这样的:

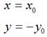
需要特别注意:在实际编程中,我们知道屏幕的y坐标的正向和数学中y坐标的正向刚好是相反的,所以在数学上y = x和屏幕上的y = -x才是真正的同一个东西,反之亦然。也就是说,如果要使图片在屏幕上看起来像按照数学意义上y = x对称,那么需使用这种转换:

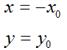
要使图片在屏幕上看起来像按照数学意义上y = -x对称,那么需使用这种转换:

关于对称轴为y = kx 或y = kx + b的情况,同样需要考虑这方面的问题。
第二部分 代码验证
在第一部分中讲到的各种图像变换的验证代码如下,一共列出了10种情况。如果要验证其中的某一种情况,只需将相应的代码反注释即可。试验中用到的图片:

其尺寸为162 x 251。
每种变换的结果,请见代码之后的说明。
<span style="font-size:13px;"></span><pre name="code" class="java">package compattesttransformmatrix; import androidappActivity; import androidcontentContext; import androidgraphicsBitmap; import androidgraphicsBitmapFactory; import androidgraphicsCanvas; import androidgraphicsMatrix; import androidosBundle; import androidutilLog; import androidviewMotionEvent; import androidviewView; import androidviewWindow; import androidviewWindowManager; import androidviewViewOnTouchListener; import androidwidgetImageView; public class TestTransformMatrixActivity extends Activity implements OnTouchListener { private TransformMatrixView view; @Override public void onCreate(Bundle savedInstanceState) { superonCreate(savedInstanceState); requestWindowFeature(WindowFEATURE_NO_TITLE); thisgetWindow()setFlags(WindowManagerLayoutParamsFLAG_FULLSCREEN, WindowManagerLayoutParamsFLAG_FULLSCREEN); view = new TransformMatrixView(this); viewsetScaleType(ImageViewScaleTypeMATRIX); viewsetOnTouchListener(this); setContentView(view); } class TransformMatrixView extends ImageView { private Bitmap bitmap; private Matrix matrix; public TransformMatrixView(Context context) { super(context); bitmap = BitmapFactorydecodeResource(getResources(), Rdrawablesophie); matrix = new Matrix(); } @Override protected void onDraw(Canvas canvas) { // 画出原图像 canvasdrawBitmap(bitmap, 0, 0, null); // 画出变换后的图像 canvasdrawBitmap(bitmap, matrix, null); superonDraw(canvas); } @Override public void setImageMatrix(Matrix matrix) { thismatrixset(matrix); supersetImageMatrix(matrix); } public Bitmap getImageBitmap() { return bitmap; } } public boolean onTouch(View v, MotionEvent e) { if(egetAction() == MotionEventACTION_UP) { Matrix matrix = new Matrix(); // 输出图像的宽度和高度(162 x 251) Loge("TestTransformMatrixActivity", "image size: width x height = " + viewgetImageBitmap()getWidth() + " x " + viewgetImageBitmap()getHeight()); // 平移 matrixpostTranslate(viewgetImageBitmap()getWidth(), viewgetImageBitmap()getHeight()); // 在x方向平移viewgetImageBitmap()getWidth(),在y轴方向viewgetImageBitmap()getHeight() viewsetImageMatrix(matrix); // 下面的代码是为了查看matrix中的元素 float[] matrixValues = new float[9]; matrixgetValues(matrixValues); for(int i = 0; i < 3; ++i) { String temp = new String(); for(int j = 0; j < 3; ++j) { temp += matrixValues[3 * i + j ] + "/t"; } Loge("TestTransformMatrixActivity", temp); } // // 旋转(围绕图像的中心点) // matrixsetRotate(45f, viewgetImageBitmap()getWidth() / 2f, viewgetImageBitmap()getHeight() / 2f); // // // 做下面的平移变换,纯粹是为了让变换后的图像和原图像不重叠 // matrixpostTranslate(viewgetImageBitmap()getWidth() * 5f, 0f); // viewsetImageMatrix(matrix); // // // 下面的代码是为了查看matrix中的元素 // float[] matrixValues = new float[9]; // matrixgetValues(matrixValues); // for(int i = 0; i < 3; ++i) // { // String temp = new String(); // for(int j = 0; j < 3; ++j) // { // temp += matrixValues[3 * i + j ] + "/t"; // } // Loge("TestTransformMatrixActivity", temp); // } // // 旋转(围绕坐标原点) + 平移(效果同2) // matrixsetRotate(45f); // matrixpreTranslate(-1f * viewgetImageBitmap()getWidth() / 2f, -1f * viewgetImageBitmap()getHeight() / 2f); // matrixpostTranslate((float)viewgetImageBitmap()getWidth() / 2f, (float)viewgetImageBitmap()getHeight() / 2f); // // // 做下面的平移变换,纯粹是为了让变换后的图像和原图像不重叠 // matrixpostTranslate((float)viewgetImageBitmap()getWidth() * 5f, 0f); // viewsetImageMatrix(matrix); // // // 下面的代码是为了查看matrix中的元素 // float[] matrixValues = new float[9]; // matrixgetValues(matrixValues); // for(int i = 0; i < 3; ++i) // { // String temp = new String(); // for(int j = 0; j < 3; ++j) // { // temp += matrixValues[3 * i + j ] + "/t"; // } // Loge("TestTransformMatrixActivity", temp); // } // // 缩放 // matrixsetScale(2f, 2f); // // 下面的代码是为了查看matrix中的元素 // float[] matrixValues = new float[9]; // matrixgetValues(matrixValues); // for(int i = 0; i < 3; ++i) // { // String temp = new String(); // for(int j = 0; j < 3; ++j) // { // temp += matrixValues[3 * i + j ] + "/t"; // } // Loge("TestTransformMatrixActivity", temp); // } // // // 做下面的平移变换,纯粹是为了让变换后的图像和原图像不重叠 // matrixpostTranslate(viewgetImageBitmap()getWidth(), viewgetImageBitmap()getHeight()); // viewsetImageMatrix(matrix); // // // 下面的代码是为了查看matrix中的元素 // matrixValues = new float[9]; // matrixgetValues(matrixValues); // for(int i = 0; i < 3; ++i) // { // String temp = new String(); // for(int j = 0; j < 3; ++j) // { // temp += matrixValues[3 * i + j ] + "/t"; // } // Loge("TestTransformMatrixActivity", temp); // } // // 错切 - 水平 // matrixsetSkew(5f, 0f); // // 下面的代码是为了查看matrix中的元素 // float[] matrixValues = new float[9]; // matrixgetValues(matrixValues); // for(int i = 0; i < 3; ++i) // { // String temp = new String(); // for(int j = 0; j < 3; ++j) // { // temp += matrixValues[3 * i + j ] + "/t"; // } // Loge("TestTransformMatrixActivity", temp); // } // // // 做下面的平移变换,纯粹是为了让变换后的图像和原图像不重叠 // matrixpostTranslate(viewgetImageBitmap()getWidth(), 0f); // viewsetImageMatrix(matrix); // // // 下面的代码是为了查看matrix中的元素 // matrixValues = new float[9]; // matrixgetValues(matrixValues); // for(int i = 0; i < 3; ++i) // { // String temp = new String(); // for(int j = 0; j < 3; ++j) // { // temp += matrixValues[3 * i + j ] + "/t"; // } // Loge("TestTransformMatrixActivity", temp); // } // // 错切 - 垂直 // matrixsetSkew(0f, 5f); // // 下面的代码是为了查看matrix中的元素 // float[] matrixValues = new float[9]; // matrixgetValues(matrixValues); // for(int i = 0; i < 3; ++i) // { // String temp = new String(); // for(int j = 0; j < 3; ++j) // { // temp += matrixValues[3 * i + j ] + "/t"; // } // Loge("TestTransformMatrixActivity", temp); // } // // // 做下面的平移变换,纯粹是为了让变换后的图像和原图像不重叠 // matrixpostTranslate(0f, viewgetImageBitmap()getHeight()); // viewsetImageMatrix(matrix); // // // 下面的代码是为了查看matrix中的元素 // matrixValues = new float[9]; // matrixgetValues(matrixValues); // for(int i = 0; i < 3; ++i) // { // String temp = new String(); // for(int j = 0; j < 3; ++j) // { // temp += matrixValues[3 * i + j ] + "/t"; // } // Loge("TestTransformMatrixActivity", temp); // } // 错切 - 水平 + 垂直 // matrixsetSkew(5f, 5f); // // 下面的代码是为了查看matrix中的元素 // float[] matrixValues = new float[9]; // matrixgetValues(matrixValues); // for(int i = 0; i < 3; ++i) // { // String temp = new String(); // for(int j = 0; j < 3; ++j) // { // temp += matrixValues[3 * i + j ] + "/t"; // } // Loge("TestTransformMatrixActivity", temp); // } // // // 做下面的平移变换,纯粹是为了让变换后的图像和原图像不重叠 // matrixpostTranslate(0f, viewgetImageBitmap()getHeight()); // viewsetImageMatrix(matrix); // // // 下面的代码是为了查看matrix中的元素 // matrixValues = new float[9]; // matrixgetValues(matrixValues); // for(int i = 0; i < 3; ++i) // { // String temp = new String(); // for(int j = 0; j < 3; ++j) // { // temp += matrixValues[3 * i + j ] + "/t"; // } // Loge("TestTransformMatrixActivity", temp); // } // // 对称 (水平对称) // float matrix_values[] = {1f, 0f, 0f, 0f, -1f, 0f, 0f, 0f, 1f}; // matrixsetValues(matrix_values); // // 下面的代码是为了查看matrix中的元素 // float[] matrixValues = new float[9]; // matrixgetValues(matrixValues); // for(int i = 0; i < 3; ++i) // { // String temp = new String(); // for(int j = 0; j < 3; ++j) // { // temp += matrixValues[3 * i + j ] + "/t"; // } // Loge("TestTransformMatrixActivity", temp); // } // // // 做下面的平移变换,纯粹是为了让变换后的图像和原图像不重叠 // matrixpostTranslate(0f, viewgetImageBitmap()getHeight() * 2f); // viewsetImageMatrix(matrix); // // // 下面的代码是为了查看matrix中的元素 // matrixValues = new float[9]; // matrixgetValues(matrixValues); // for(int i = 0; i < 3; ++i) // { // String temp = new String(); // for(int j = 0; j < 3; ++j) // { // temp += matrixValues[3 * i + j ] + "/t"; // } // Loge("TestTransformMatrixActivity", temp); // } // // 对称 - 垂直 // float matrix_values[] = {-1f, 0f, 0f, 0f, 1f, 0f, 0f, 0f, 1f}; // matrixsetValues(matrix_values); // // 下面的代码是为了查看matrix中的元素 // float[] matrixValues = new float[9]; // matrixgetValues(matrixValues); // for(int i = 0; i < 3; ++i) // { // String temp = new String(); // for(int j = 0; j < 3; ++j) // { // temp += matrixValues[3 * i + j ] + "/t"; // } // Loge("TestTransformMatrixActivity", temp); // } // // // 做下面的平移变换,纯粹是为了让变换后的图像和原图像不重叠 // matrixpostTranslate(viewgetImageBitmap()getWidth() * 2f, 0f); // viewsetImageMatrix(matrix); // // // 下面的代码是为了查看matrix中的元素 // matrixValues = new float[9]; // matrixgetValues(matrixValues); // for(int i = 0; i < 3; ++i) // { // String temp = new String(); // for(int j = 0; j < 3; ++j) // { // temp += matrixValues[3 * i + j ] + "/t"; // } // Loge("TestTransformMatrixActivity", temp); // } // // 对称(对称轴为直线y = x) // float matrix_values[] = {0f, -1f, 0f, -1f, 0f, 0f, 0f, 0f, 1f}; // matrixsetValues(matrix_values); // // 下面的代码是为了查看matrix中的元素 // float[] matrixValues = new float[9]; // matrixgetValues(matrixValues); // for(int i = 0; i < 3; ++i) // { // String temp = new String(); // for(int j = 0; j < 3; ++j) // { // temp += matrixValues[3 * i + j ] + "/t"; // } // Loge("TestTransformMatrixActivity", temp); // } // // // 做下面的平移变换,纯粹是为了让变换后的图像和原图像不重叠 // matrixpostTranslate(viewgetImageBitmap()getHeight() + viewgetImageBitmap()getWidth(), // viewgetImageBitmap()getHeight() + viewgetImageBitmap()getWidth()); // viewsetImageMatrix(matrix); // // // 下面的代码是为了查看matrix中的元素 // matrixValues = new float[9]; // matrixgetValues(matrixValues); // for(int i = 0; i < 3; ++i) // { // String temp = new String(); // for(int j = 0; j < 3; ++j) // { // temp += matrixValues[3 * i + j ] + "/t"; // } // Loge("TestTransformMatrixActivity", temp); // } viewinvalidate(); } return true; } } 下面给出上述代码中,各种变换的具体结果及其对应的相关变换矩阵
1. 平移

输出的结果:

请对照第一部分中的“一、平移变换”所讲的情形,考察上述矩阵的正确性。
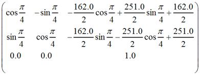
2. 旋转(围绕图像的中心点)

输出的结果:

它实际上是
matrix.setRotate(45f,view.getImageBitmap().getWidth() / 2f, view.getImageBitmap().getHeight() / 2f);matrix.postTranslate(view.getImageBitmap().getWidth()* 1.5f, 0f);
这两条语句综合作用的结果。根据第一部分中“二、旋转变换”里面关于围绕某点旋转的公式,
matrix.setRotate(45f,view.getImageBitmap().getWidth() / 2f, view.getImageBitmap().getHeight() / 2f);
所产生的转换矩阵就是:

而matrix.postTranslate(view.getImageBitmap().getWidth()* 1.5f, 0f);的意思就是在上述矩阵的左边再乘以下面的矩阵:

关于post是左乘这一点,我们在前面的理论部分曾经提及过,后面我们还会专门讨论这个问题。
所以它实际上就是:

出去计算上的精度误差,我们可以看到我们计算出来的结果,和程序直接输出的结果是一致的。
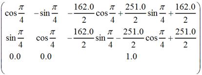
3. 旋转(围绕坐标原点旋转,在加上两次平移,效果同2)

根据第一部分中“二、旋转变换”里面关于围绕某点旋转的解释,不难知道:
matrix.setRotate(45f,view.getImageBitmap().getWidth() / 2f, view.getImageBitmap().getHeight() / 2f);
等价于
matrix.setRotate(45f);matrix.preTranslate(-1f* view.getImageBitmap().getWidth() / 2f, -1f *view.getImageBitmap().getHeight() / 2f);matrix.postTranslate((float)view.getImageBitmap().getWidth()/ 2f, (float)view.getImageBitmap().getHeight() / 2f);
其中matrix.setRotate(45f)对应的矩阵是:

matrix.preTranslate(-1f* view.getImageBitmap().getWidth() / 2f, -1f * view.getImageBitmap().getHeight()/ 2f)对应的矩阵是:

由于是preTranslate,是先乘,也就是右乘,即它应该出现在matrix.setRotate(45f)所对应矩阵的右侧。
matrix.postTranslate((float)view.getImageBitmap().getWidth()/ 2f, (float)view.getImageBitmap().getHeight() / 2f)对应的矩阵是:

这次由于是postTranslate,是后乘,也就是左乘,即它应该出现在matrix.setRotate(45f)所对应矩阵的左侧。
所以综合起来,
matrix.setRotate(45f);matrix.preTranslate(-1f* view.getImageBitmap().getWidth() / 2f, -1f *view.getImageBitmap().getHeight() / 2f);matrix.postTranslate((float)view.getImageBitmap().getWidth()/ 2f, (float)view.getImageBitmap().getHeight() / 2f);
对应的矩阵就是:

这和下面这个矩阵(围绕图像中心顺时针旋转45度)其实是一样的:

因此,此处变换后的图像和2中变换后的图像时一样的。
4. 缩放变换

程序所输出的两个矩阵分别是:

其中第二个矩阵,其实是下面两个矩阵相乘的结果:

大家可以对照第一部分中的“三、缩放变换”和“一、平移变换”说法,自行验证结果。
5. 错切变换(水平错切)

代码所输出的两个矩阵分别是:

其中,第二个矩阵其实是下面两个矩阵相乘的结果:

大家可以对照第一部分中的“四、错切变换”和“一、平移变换”的相关说法,自行验证结果。
6. 错切变换(垂直错切)

代码所输出的两个矩阵分别是:

其中,第二个矩阵其实是下面两个矩阵相乘的结果:

大家可以对照第一部分中的“四、错切变换”和“一、平移变换”的相关说法,自行验证结果。
7. 错切变换(水平+垂直错切)

代码所输出的两个矩阵分别是:

其中,后者是下面两个矩阵相乘的结果:

大家可以对照第一部分中的“四、错切变换”和“一、平移变换”的相关说法,自行验证结果。
8. 对称变换(水平对称)

代码所输出的两个各矩阵分别是:

其中,后者是下面两个矩阵相乘的结果:

大家可以对照第一部分中的“五、对称变换”和“一、平移变换”的相关说法,自行验证结果。
9. 对称变换(垂直对称)

代码所输出的两个矩阵分别是:

其中,后者是下面两个矩阵相乘的结果:

大家可以对照第一部分中的“五、对称变换”和“一、平移变换”的相关说法,自行验证结果。
10. 对称变换(对称轴为直线y = x)

代码所输出的两个矩阵分别是:

其中,后者是下面两个矩阵相乘的结果:

大家可以对照第一部分中的“五、对称变换”和“一、平移变换”的相关说法,自行验证结果。
11. 关于先乘和后乘的问题
由于矩阵的乘法运算不满足交换律,我们在前面曾经多次提及先乘、后乘的问题,即先乘就是矩阵运算中右乘,后乘就是矩阵运算中的左乘。其实先乘、后乘的概念是针对变换操作的时间先后而言的,左乘、右乘是针对矩阵运算的左右位置而言的。以第一部分“二、旋转变换”中围绕某点旋转的情况为例:

越靠近原图像中像素的矩阵,越先乘,越远离原图像中像素的矩阵,越后乘。事实上,图像处理时,矩阵的运算是从右边往左边方向进行运算的。这就形成了越在右边的矩阵(右乘),越先运算(先乘),反之亦然。
当然,在实际中,如果首先指定了一个matrix,比如我们先setRotate(),即指定了上面变换矩阵中,中间的那个矩阵,那么后续的矩阵到底是pre还是post运算,都是相对这个中间矩阵而言的。
以上就是本文的全部内容,希望对大家的学习有所帮助,也希望大家多多支持VEVB武林网。
新闻热点
疑难解答