前几天在“Android绘图之渐隐动画”一文中通过画线实现了渐隐动画,但里面有个问题,画笔较粗(大于1)时线段之间会有裂隙,我又改进了一下。这次效果好多了。
先看效果吧:

然后我们来说说基本的做法:
•根据画笔宽度,计算每一条线段两个顶点对应的四个点,四点连线,包围线段,形成一个路径。
•后一条线段的路径的前两个点,取(等于)前一条线段的后两点,这样就衔接起来了。
把Path的Style修改为FILL,效果是这样的:

可以看到一个个四边形,连成了路径。
好啦,现在说说怎样根据两点计算出包围它们连线的路径所需的四个点。
先看一张图:

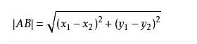
在这张图里,黑色细线是我们拿到的两个触摸点相连得到的。当画笔宽度大于1(比如为10)时,其实经过这条黑线的两个端点并且与这条黑线垂直相交的两条线(蓝线),就可以计算出来,蓝线的长度就是画笔的宽度,结合这些就可以计算出红色的四个点。而红色的四个点就围住了线段,形成路径。
这里面用到两点连线的公式,采用点斜式:
y = k*x + b
黑线的斜率是:
k = (y2 - y1) / (x2 - x1)
垂直相交的两条线的斜率的关系是:
k1 * k2 = -1
所以,蓝线的斜率就可以计算出来了。有了斜率和线上的一个点,就可以求出这条线的点斜式中的b,点斜式就出来了。
然后,利用两点间距离公式:

已知一个点,这个点与另一个点的距离(画笔宽度除以2),斜率,代入两点间距离公式和蓝线的点斜式,就可以计算出两个红色的点了。
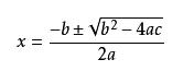
计算时用到的是一元二次方程a*x*x + bx + c = 0,求 x 时用的公式是:

好啦,最后,上代码:
package com.example.disappearinglines;import android.content.Context;import android.graphics.Canvas;import android.graphics.Paint;import android.graphics.Path;import android.graphics.PointF;import android.graphics.RectF;import android.os.Handler;import android.os.Message;import android.os.SystemClock;import android.support.annotation.NonNull;import android.util.AttributeSet;import android.util.Log;import android.util.TypedValue;import android.view.MotionEvent;import android.view.View;import java.util.ArrayList;import java.util.Collection;import java.util.Iterator;import java.util.List;import java.util.ListIterator;/** * Created by foruok,欢迎关注我的订阅号“程序视界”. */public class DisappearingDoodleView extends View { public static float convertDipToPx(Context context, float fDip) { float fPx = TypedValue.applyDimension(TypedValue.COMPLEX_UNIT_DIP, fDip, context.getResources().getDisplayMetrics()); return fPx; } final static String TAG = "DoodleView"; class LineElement { static final public int ALPHA_STEP = 8; public LineElement(float pathWidth){ mPaint = new Paint(); mPaint.setARGB(255, 255, 0, 0); mPaint.setAntiAlias(true); mPaint.setStrokeWidth(0); mPaint.setStrokeCap(Paint.Cap.BUTT); mPaint.setStyle(Paint.Style.FILL); mPath = new Path(); mPathWidth = pathWidth; for(int i= 0; i < mPoints.length; i++){ mPoints[i] = new PointF(); } } public void setPaint(Paint paint){ mPaint = paint; } public void setAlpha(int alpha){ mPaint.setAlpha(alpha); mPathWidth = (alpha * mPathWidth) / 255; } private boolean caculatePoints(float k, float b, float x1, float y1, float distance, PointF pt1, PointF pt2){ //point-k formula // y= kx + b //distance formula of two points // distance*distance = Math.pow((x - x1), 2) + Math.pow((y - y1), 2) // | // V // ax*x + bx + c = 0; // | // V // x = (-b +/- Math.sqrt( b*b - 4*a*c ) ) / (2*a) double a1 = Math.pow(k, 2) + 1; double b1 = 2* k * (b - y1) - 2 * x1; double c1 = Math.pow(x1, 2) + Math.pow(b - y1, 2) - Math.pow(distance, 2); double criterion = Math.pow(b1, 2) - 4*a1*c1; if(criterion > 0) { criterion = Math.sqrt(criterion); pt1.x = (float) ((-b1 + criterion) / (2 * a1)); pt1.y = k * pt1.x + b; pt2.x = (float) ((-b1 - criterion) / (2 * a1)); pt2.y = k * pt2.x + b; return true; } return false; } private void swapPoint(PointF pt1, PointF pt2){ float t = pt1.x; pt1.x = pt2.x; pt2.x = t; t = pt1.y; pt1.y = pt2.y; pt2.y = t; } public boolean updatePathPoints(){ float distance = mPathWidth / 2; if(Math.abs(mEndX - mStartX) < 1){ mPoints[0].x = mStartX + distance; mPoints[0].y = mStartY - distance; mPoints[1].x = mStartX - distance; mPoints[1].y = mPoints[0].y; mPoints[2].x = mPoints[1].x; mPoints[2].y = mEndY + distance; mPoints[3].x = mPoints[0].x; mPoints[3].y = mPoints[2].y; }else if(Math.abs(mEndY - mStartY) < 1){ mPoints[0].x = mStartX - distance; mPoints[0].y = mStartY - distance; mPoints[1].x = mPoints[0].x; mPoints[1].y = mStartY + distance; mPoints[2].x = mEndX + distance; mPoints[2].y = mPoints[1].y; mPoints[3].x = mPoints[2].x; mPoints[3].y = mPoints[0].y; }else{ //point-k formula //y= kx + b float kLine = (mEndY - mStartY) / (mEndX - mStartX); float kVertLine = -1 / kLine; float b = mStartY - (kVertLine * mStartX); if(!caculatePoints(kVertLine, b, mStartX, mStartY, distance, mPoints[0], mPoints[1])){ String info = String.format(TAG, "startPt, criterion < 0, (%.2f, %.2f)-->(%.2f, %.2f), kLine - %.2f, kVertLine - %.2f, b - %.2f", mStartX, mStartY, mEndX, mEndY, kLine, kVertLine, b); Log.i(TAG, info); return false; } b = mEndY - (kVertLine * mEndX); if(!caculatePoints(kVertLine, b, mEndX, mEndY, distance, mPoints[2], mPoints[3])){ String info = String.format(TAG, "endPt, criterion < 0, (%.2f, %.2f)-->(%.2f, %.2f), kLine - %.2f, kVertLine - %.2f, b - %.2f", mStartX, mStartY, mEndX, mEndY, kLine, kVertLine, b); Log.i(TAG, info); return false; } //reorder points to unti-clockwise if(mStartX < mEndX){ if(mStartY < mEndY){ if(mPoints[0].x < mPoints[1].x){ swapPoint(mPoints[0], mPoints[1]); } if(mPoints[2].x > mPoints[3].x){ swapPoint(mPoints[2], mPoints[3]); } }else{ if(mPoints[0].x > mPoints[1].x){ swapPoint(mPoints[0], mPoints[1]); } if(mPoints[2].x < mPoints[3].x){ swapPoint(mPoints[2], mPoints[3]); } } }else{ if(mStartY < mEndY){ if(mPoints[0].x < mPoints[1].x){ swapPoint(mPoints[0], mPoints[1]); } if(mPoints[2].x > mPoints[3].x){ swapPoint(mPoints[2], mPoints[3]); } }else{ if(mPoints[0].x > mPoints[1].x){ swapPoint(mPoints[0], mPoints[1]); } if(mPoints[2].x < mPoints[3].x){ swapPoint(mPoints[2], mPoints[3]); } } } } return true; } // for the first line public void updatePath(){ //update path mPath.reset(); mPath.moveTo(mPoints[0].x, mPoints[0].y); mPath.lineTo(mPoints[1].x, mPoints[1].y); mPath.lineTo(mPoints[2].x, mPoints[2].y); mPath.lineTo(mPoints[3].x, mPoints[3].y); mPath.close(); } // for middle line public void updatePathWithStartPoints(PointF pt1, PointF pt2){ mPath.reset(); mPath.moveTo(pt1.x, pt1.y); mPath.lineTo(pt2.x, pt2.y); mPath.lineTo(mPoints[2].x, mPoints[2].y); mPath.lineTo(mPoints[3].x, mPoints[3].y); mPath.close(); } public float mStartX = -1; public float mStartY = -1; public float mEndX = -1; public float mEndY = -1; public Paint mPaint; public Path mPath; public PointF[] mPoints = new PointF[4]; //path's vertex float mPathWidth; } private LineElement mCurrentLine = null; private List<LineElement> mLines = null; private float mLaserX = 0; private float mLaserY = 0; final Paint mPaint = new Paint(); private int mWidth = 0; private int mHeight = 0; private long mElapsed = 0; private float mStrokeWidth = 20; private float mCircleRadius = 10; private Handler mHandler = new Handler(){ @Override public void handleMessage(Message msg){ DisappearingDoodleView.this.invalidate(); } }; public DisappearingDoodleView(Context context){ super(context); initialize(context); } public DisappearingDoodleView(Context context, AttributeSet attrs){ super(context, attrs); initialize(context); } private void initialize(Context context){ mStrokeWidth = convertDipToPx(context, 22); mCircleRadius = convertDipToPx(context, 10); mPaint.setARGB(255, 255, 0, 0); mPaint.setAntiAlias(true); mPaint.setStrokeWidth(0); mPaint.setStyle(Paint.Style.FILL); } @Override protected void onSizeChanged (int w, int h, int oldw, int oldh){ mWidth = w; mHeight = h; adjustLasterPosition(); } private void adjustLasterPosition(){ if(mLaserX - mCircleRadius < 0) mLaserX = mCircleRadius; else if(mLaserX + mCircleRadius > mWidth) mLaserX = mWidth - mCircleRadius; if(mLaserY - mCircleRadius < 0) mLaserY = mCircleRadius; else if(mLaserY + mCircleRadius > mHeight) mLaserY = mHeight - mCircleRadius; } private void updateLaserPosition(float x, float y){ mLaserX = x; mLaserY = y; adjustLasterPosition(); } @Override protected void onDraw(Canvas canvas){ //canvas.drawText("ABCDE", 10, 16, mPaint); mElapsed = SystemClock.elapsedRealtime(); if(mLines != null) { updatePaths(); for (LineElement e : mLines) { if(e.mStartX < 0 || e.mEndY < 0 || e.mPath.isEmpty()) continue; //canvas.drawLine(e.mStartX, e.mStartY, e.mEndX, e.mEndY, e.mPaint); canvas.drawPath(e.mPath, e.mPaint); } compactPaths(); } canvas.drawCircle(mLaserX, mLaserY, mCircleRadius, mPaint); } private boolean isValidLine(float x1, float y1, float x2, float y2){ return Math.abs(x1 - x2) > 1 || Math.abs(y1 - y2) > 1; } @Override public boolean onTouchEvent(MotionEvent event){ float x = event.getX(); float y = event.getY(); int action = event.getAction(); if(action == MotionEvent.ACTION_UP){// end one line after finger release if(isValidLine(mCurrentLine.mStartX, mCurrentLine.mStartY, x, y)){ mCurrentLine.mEndX = x; mCurrentLine.mEndY = y; addToPaths(mCurrentLine); } //mCurrentLine.updatePathPoints(); mCurrentLine = null; updateLaserPosition(x, y); invalidate(); return true; } if(action == MotionEvent.ACTION_DOWN){ mLines = null; mCurrentLine = new LineElement(mStrokeWidth); mCurrentLine.mStartX = x; mCurrentLine.mStartY = y; updateLaserPosition(x, y); return true; } if(action == MotionEvent.ACTION_MOVE) { if(isValidLine(mCurrentLine.mStartX, mCurrentLine.mStartY, x, y)){ mCurrentLine.mEndX = x; mCurrentLine.mEndY = y; addToPaths(mCurrentLine); mCurrentLine = new LineElement(mStrokeWidth); mCurrentLine.mStartX = x; mCurrentLine.mStartY = y; updateLaserPosition(x, y); }else{ //do nothing, wait next point } } if(mHandler.hasMessages(1)){ mHandler.removeMessages(1); } Message msg = new Message(); msg.what = 1; mHandler.sendMessageDelayed(msg, 0); return true; } private void addToPaths(LineElement element){ if(mLines == null) { mLines = new ArrayList<LineElement>() ; } mLines.add(element); } private void updatePaths() { int size = mLines.size(); if (size == 0) return; LineElement line = null; int j = 0; for (; j < size; j++) { line = mLines.get(j); if (line.updatePathPoints()) break; } if (j == size) { mLines.clear(); return; } else { for (j--; j >= 0; j--) { mLines.remove(0); } } line.updatePath(); size = mLines.size(); LineElement lastLine = null; for (int i = 1; i < size; i++) { line = mLines.get(i); if (line.updatePathPoints()){ if (lastLine == null) { lastLine = mLines.get(i - 1); } line.updatePathWithStartPoints(lastLine.mPoints[3], lastLine.mPoints[2]); lastLine = null; }else{ mLines.remove(i); size = mLines.size(); } } } public void compactPaths(){ int size = mLines.size(); int index = size - 1; if(size == 0) return; int baseAlpha = 255 - LineElement.ALPHA_STEP; int itselfAlpha; LineElement line; for(; index >=0 ; index--, baseAlpha -= LineElement.ALPHA_STEP){ line = mLines.get(index); itselfAlpha = line.mPaint.getAlpha(); if(itselfAlpha == 255){ if(baseAlpha <= 0 || line.mPathWidth < 1){ ++index; break; } line.setAlpha(baseAlpha); }else{ itselfAlpha -= LineElement.ALPHA_STEP; if(itselfAlpha <= 0 || line.mPathWidth < 1){ ++index; break; } line.setAlpha(itselfAlpha); } } if(index >= size){ // all sub-path should disappear mLines = null; } else if(index >= 0){ //Log.i(TAG, "compactPaths from " + index + " to " + (size - 1)); mLines = mLines.subList(index, size); }else{ // no sub-path should disappear } long interval = 40 - SystemClock.elapsedRealtime() + mElapsed; if(interval < 0) interval = 0; Message msg = new Message(); msg.what = 1; mHandler.sendMessageDelayed(msg, interval); }}这样自绘,效率不太好,还没想怎么去改进,大家可以讨论讨论。
以上就是本文的全部内容,希望对大家的学习有所帮助,也希望大家多多支持VEVB武林网。
新闻热点
疑难解答